Puissance/Vitesse critique
Si la notion d’intensité critique est de plus en plus utilisée aujourd’hui, celle-ci n’est pourtant pas si récente. D’après [1], c’est en 1965 que Monod et Scherrer proposent pour la première fois le terme de puissance critique (notée CP pour Critical Power), définie comme « le taux maximal de travail qu’un muscle peut maintenir très longtemps sans fatigue ». Leur approche consistait à faire exécuter plusieurs exercices jusqu’à épuisement, puis à tracer le travail total en fonction du temps. Ils ont notamment pu observer que cette relation suivait une loi hyperbolique.
Depuis, le modèle s’est affiné, notamment avec les travaux de Whipp et al. (1982) et surtout de Poole et al. (1988). Il s’agit donc finalement d’un concept plutôt vieux et bien documenté, qui, comme nous le verrons, est un outil très puissant pour prescrire l’entraînement, à condition de connaître les hypothèses du modèle et ses limites.
Note : Dans cet article, nous utiliserons les termes puissance critique (CP) et vitesse critique (CS), ainsi que W′ et D′. Il s’agit des mêmes concepts issus du même modèle (seule l’unité change) : en cyclisme on parle plutôt de CP (en watts) et de W′ (en joules), tandis qu’en course à pied on parle de CS (en m·s⁻¹ ou km·h⁻¹) et de D′ (en mètres). Pour la lisibilité, nous considérerons donc CP ↔ CS et W′ ↔ D′ selon le contexte (vélo ou course).
Définition de l’intensité critique …
… d’un point de vue mathématique
Le modèle d’intensité critique est, comme son nom l’indique, un modèle. Cela signifie qu’à partir d’une relation mathématique, il est possible de prédire, modéliser, la relation entre l’intensité et le temps. Mathématiquement, la relation entre puissance et temps de soutien suit une loi hyperbolique. Si P est la puissance de l’effort et t le temps jusqu’à épuisement, alors :
(éq. 1)

Figure 1 : Schéma explicatif du modèle d’intensité critique
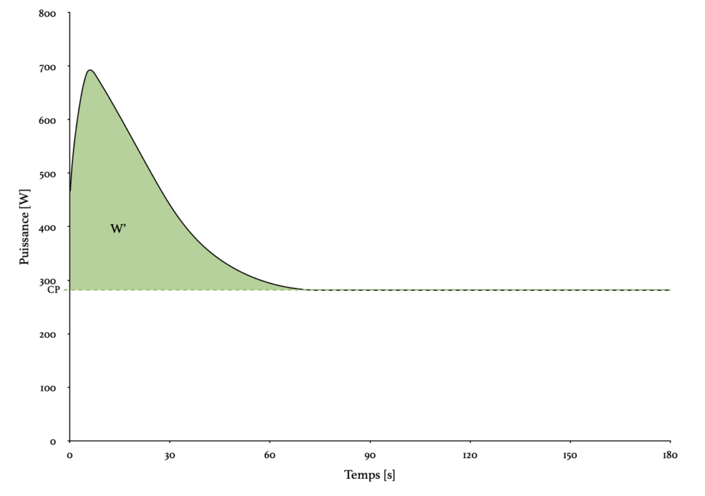
- CP est l’asymptote horizontale : la puissance que l’on peut, théoriquement, soutenir indéfiniment. On verra par la suite que c’est plus compliqué que cela. Néanmoins, cette valeur est primordiale.
- W′ est une constante de courbure : la quantité de travail disponible au-dessus de CP.
Il s’agit d’une formule avec 2 inconnues : CP et W’. Avoir 2 points de mesure différents est donc une condition nécessaire et suffisante théoriquement pour déterminer CP et W’.
Une autre façon de l’écrire est, d’après [2] :
(éq. 2)
Cela met en évidence que le temps limite dépend de la quantité de travail disponible au-dessus de CP (W’) ainsi que de la proximité entre la puissance délivrée et CP. Plus P est grand par rapport à CP, plus le temps limite soutenable à la puissance P, noté Tlim, est petit.
Ce modèle hyperbolique explique pourquoi une petite augmentation d’intensité au-dessus de CP réduit de façon disproportionnée le temps tolérable, bien illustré par la courbe correspondante sur la Figure 1.
… d’un point de vue physiologique
Maintenant que nous avons établi que l’intensité critique découle d’un modèle mathématique décrivant la relation entre l’intensité et le temps pendant lequel elle peut être maintenue, intéressons-nous à ce que cette valeur représente physiologiquement.
Comme l’ont montré Jones et al. (2008) [1], plusieurs marqueurs physiologiques évoluent différemment de part et d’autre de la CP/CS (voir Figure 2), par exemple entre CP − 10 % et CP + 10 %, ou encore entre CP et CP + 5 %.




Les 2 premiers graphes mettent en avant une dérive de la VO2 et de la lactatémie. Cela permet également de voir que la VO2 dérive jusqu’à VO2max à partir du moment où la vitesse critique est dépassée.
Les graphes suivants montrent clairement une rapide dégradation de certains marqueurs intramusculaires tels que le pH et la concentration en PhosphorylCréatine. La PhosphorylCréatine est une molécule permettant la resynthèse de l’ATP. Cette dernière est l’unique molécule permettant au corps de produire une tension musculaire et donc une production de force [7]. L’utilisation de la PhosphorylCréatine est le mécanisme le plus rapide dont le corps dispose pour créer l’ATP, bien plus rapide que la glycolyse. Ce mécanisme faisant intervenir la PhosphorylCréatine est souvent associée au sprint et au système anaérobie alactique, quand bien même il intervient quel que soit le niveau d’intensité. Au-dessus de l’intensité critique, la demande est telle que la quantité de PhosphorylCréatine diminue rapidement jusqu’à épuisement des réserves. Le pH quant à lui résulte de l’accumulation d’ion H+, provenant de l’hydrolyse de l’ATP pour permettre la contraction musculaire. Cette accumulation d’ion H+ et donc cette diminution du pH signifie que la demande est supérieure aux capacités du corps à pouvoir tamponner en temps normal cette accumulation d’ion H+.
Malgré ce qui a été avancé précédemment, il ne faut pas concevoir l’intensité critique comme un seuil brutal. Pour un·e athlète avec une vitesse critique (CS) de 16 km·h⁻¹ (3’45/km), courir à CS + 5 % revient à ~16,8 km·h⁻¹ (3’34/km), soit ~11 s plus vite par kilomètre, une hausse déjà importante. À CS + 2 %, on observerait aussi une dérive des marqueurs internes, mais moins marquée que dans les schémas de la Figure 2. L’ampleur de cette dérive augmente à mesure que l’intensité se situe au-dessus de CP/CS. C’est pourquoi il est plus juste de parler de « repère » physiologique que de « seuil », qui suggère une rupture nette : la relation intensité–temps (Figure 1) est continue et ne présente pas de discontinuité franche.
Pour aller plus loin, l’article [6] montre que la puissance critique (CP) permet de définir le maximal metabolic steady state (MMSS, état métabolique stable maximal). Il précise également que le maximal lactate steady state (MLSS, état stable maximal du lactate sanguin), souvent utilisé pour définir le « second seuil », est inférieur à CP et qu’il ne faut pas les confondre : il est possible d’être au-dessus du MLSS tout en observant une VO₂ stable. La synthèse rapportée indique que la puissance au MLSS est en général ~4 à 16 % inférieure à celle de la CP. En conséquence, les auteurs considèrent la CP comme la référence (« gold standard ») pour identifier le MMSS et, par extension, délimiter la frontière entre le domaine élevé (heavy) et le domaine sévère (severe).
Ainsi, CP n’est pas simplement une valeur de performance mais un repère physiologique fondamental qui distingue deux domaines d’intensité :
- Heavy → VO2 et lactatémie stable, épuisement avant d’atteindre VO2max.
- Severe → dérive métabolique, atteinte de VO2max inévitable si l’effort est maintenu assez longtemps.
Notion de W’ / D’
Lorsqu’on parle de puissance critique, on se focalise souvent uniquement sur cette notion. Or, comme vu précédemment, le modèle comporte deux paramètres : CP et W′ (ou D′ si l’on raisonne en vitesse, avec CS). W′/D′ est un peu plus délicat à appréhender.
D’après [1], W′ (en joules) — et son équivalent D′ (en mètres) lorsqu’on utilise la vitesse critique (CS) — représente la quantité totale de travail (ou de distance) réalisable au-dessus de CP/CS.
Classiquement décrit comme la « capacité anaérobie », W′ correspond en réalité à une capacité intégrée qui inclut notamment :
- les stocks de phosphocréatine et de glycogène ;
- la tolérance à l’accumulation de métabolites (H⁺, Pi, K⁺, etc.).
Concrètement, W′ peut être vu comme un budget d’effort mobilisable pour les accélérations, relais, attaques ou sprints finaux (le fameux « kick » de fin de course). W’ peut avoir plusieurs applications.
Conception d’intervalles
La première façon de s’en servir est pour le calibrage des séances HIIT et la conception des intervalles. D’après [1], pendant un intervalle :
- le travail à une puissance Pw au dessus de CP pendant une durée tw consomme W′ selon (Pw−CP)⋅tw
- la récupération à une puissance Pr en dessous de CP pendant une durée tr restaure W′ selon (CP−Pr)⋅tr
Ce modèle linéaire n’est qu’une approximation. D’après [1] et [3], la reconstitution de W’ suit plutôt une cinétique exponentielle avec un constante de temps TW’ :
(éq. 3)
Avec
- la quantité de W’ disponible à l’instant t
- le W’ dépensé jusqu’à l’instant t=u
- le temps écoulé depuis chaque phase d’effort au-dessus de CP
- la constante de temps de reconstitution en secondes qui dépend de l’écart entre la puissance et la puissance critique.
L’utilisation du W′ comme outil de calibration pour les séances d’intervalles à haute intensité (HIIT) présente un intérêt théorique certain : il permettrait d’objectiver la quantité de travail réalisable au-dessus de la puissance critique et de gérer finement l’équilibre entre dépense et reconstitution de cette « réserve ». On pourrait donc prédire combien d’intervalles complets un athlète peut réaliser avant d’épuiser son W′. Sur les Figures X présentées ci-dessous, le nombre d’intervalle de 2′ réalisable par cet athlète, avec cette modalité de récupération, n’est pas le même à 105 % de CS qu’à 115 %. Il est évident que l’athlète pourra en réaliser davantage à 105 % de CS qu’à 115 %, mais la modélisation de W’ ici permet de répondre à la question « combien ?».
Cependant, plusieurs limites importantes ressortent de la littérature.
D’une part, la constante de temps de reconstitution (TW′) n’est pas universelle. Skiba et al. (2014) [3] soulignent que la vitesse de reconstitution varie non seulement selon les caractéristiques individuelles, mais aussi selon la structure des intervalles. Ainsi, des intervalles courts (par ex. 20–30 s) ont conduit à une reconstitution du W′ plus rapide que prévu. À l’inverse, la réduction des durées de récupération entraînait également des écarts par rapport aux prédictions, traduisant une complexité qui échappe au modèle.
D’autre part, W′ n’est pas parfaitement stable dans le temps. Dans l’étude [3], les auteurs notent une évolution au fil des deux semaines d’expérimentation de la valeur de CP et de W’. Autrement dit, la valeur de W′ fluctue avec l’entraînement ou la condition physiologique. On comprend donc que vouloir calibrer avec précision une séance HIIT avec une valeur qui n’est pas stable est limité. Cela peut servir de point de départ, mais doit être réajusté au fil des séances en fonction des différentes données.
Orienter le profil
D’après [1], Le ratio W′/CP (ou D′/CV) décrit la “flexibilité” d’un athlète : un profil avec CP élevée mais W′ faible sera plutôt endurant avec un faible capacité à finir fort, tandis qu’un profil inverse pourra miser sur des variations de rythme et aura davantage de chance en cas d’arrivée au sprint. Ce ratio permet donc a priori d’orienter la stratégie de course en fonction du profil de l’athlète.
Cela peut également servir à orienter l’athlète sur une distance où il sera plus compétitif. Le papier de [1] prend l’exemple de deux athlètes :
- Athlète A : CS = 5,85 m/s, D′ = 75 m.
- Athlète B : CS = 5,82 m/s, D′ = 95 m.
Sur 800 m et 1500 m, l’athlète B gagne grâce à un D’ plus grand. Sur 5000 m, c’est l’athlète A qui l’emporte grâce à un CS plus élevé. Cela est évidemment purement théorique, mais permet de comprendre l’idée.
Il est important néanmoins de garder en tête que CP et W’ ne sont pas figés et qu’un athlète avec un profil rapide peut devenir endurant (on y reviendra plus loin d’en l’article). Il s’agit alors plutôt d’un outil pour comprendre le profil de l’athlète et orienter l’entraînement en conséquence, en fonction des spécificités de l’objectif.
Déterminer CP / CS : Le protocole
D’après [2], [1], [6], 2 types de protocoles sont présentés dans la littérature : le time trial et le 3′ all out.
Le 3′ all out
Un protocole souvent utilisé en recherche et présenté dans les papiers cités est le test all-out de 3 minutes, où l’athlète doit fournir un effort maximal sans gestion de rythme. Ce test permet d’estimer CP/CS à partir de la puissance ou vitesse atteinte en fin d’effort, et W′/D′ à partir du travail total au-dessus de ce seuil. Bien que pratique et rapide, il présente plusieurs limites : il demande une forte motivation et un engagement total, il est sensible aux variations de cadence, et sa validité n’est assurée que si le VO₂max est atteint. En pratique, ce test est surtout adapté au cyclisme sur ergomètre à résistance fixe, et reste plus difficile à standardiser en course à pied.

Figure 3 : Schéma de principe de la détermination de CP et W’ avec un test de 3′ all out
le Time Trial
Il s’agit de la série de tests classique utilisée en pratique permettant de tracer la relation hyperbolique présentée au début (voir Figure 1). La vitesse critique (CS) ou puissance critique (CP) est un paramètre robuste, mais sa mesure nécessite un protocole rigoureux. Historiquement, Whipp et al. (1982), puis Poole et al. (1988), ont montré que la meilleure façon d’estimer la CP consistait à faire réaliser plusieurs efforts continus, chacun mené jusqu’à l’épuisement, et de déterminer ensuite la relation hyperbolique entre intensité et temps de soutien.
Concrètement, d’après ces papiers, l’athlète doit effectuer au moins trois à quatre tests (on y reviendra), chacun à une intensité constante supérieure à la CP. L’élément central du protocole est que les efforts choisis doivent conduire à l’épuisement dans une fenêtre temporelle comprise entre 2 et 15 minutes.
Cette contrainte est essentielle :
- en dessous de 2 minutes, des facteurs mécaniques et neuromusculaires dominent, ce qui biaise la relation hyperbolique,
- au-delà de 15 à 20 minutes, des facteurs psychologiques (motivation, inconfort, lassitude) prennent trop de place, ce qui altère la précision de la mesure,
- entre 2 et 15 minutes, l’effort se situe dans le domaine sévère, où l’on sait que l’épuisement survient toujours lorsque le VO2max est atteint et que le W′ est entièrement consommé.
Comme on le verra plus tard, réaliser des tests maximum est très coûteux. Quand bien même la littérature préconise 3 tests minimum ou plus, souvent en pratique, seuls 2 tests sont réalisés : en général 3 et 12′, ou 5 et 12′, ou 5′ et 15′.
Limites et discussion
Comme tout modèle, celui de l’intensité critique possède ses avantages et ses inconvénients. Il est primordial de les connaître pour tirer pleinement partie du modèle.
Et le seuil 1 dans tout ça ?
La vitesse critique (CS) est le marqueur opérationnel qui délimite la frontière entre le domaine élevé (heavy) et le domaine sévère. En revanche, CS ne renseigne pas la transition entre les domaines modéré et élevé (le « premier seuil », T1 : GET/LT1/VT1), qui relève d’autres approches (lactate, ventilatoire).
Pour estimer T1 sans test de labo, une solution est d’utiliser un pourcentage de CS. Contrairement à l’utilisation d’un pourcentage de VMA (lien vers article), utiliser un pourcentage de CS est plus robuste car cela s’appuie sur un repère beaucoup plus fiable d’un point de vue physiologique, et moins haut dans le spectre d’intensité (ce qui réduit la marge d’erreur). C’est justement ce à quoi c’est intéressé le papier de Hunter et al. [4]. Dans cette revue systématique, les auteurs situent T1 en course à pied à environs 82,3 +- 4,8 % de CS, avec une dépendance au niveau de performance :
- 80,6 +- 5,3 % chez les coureurs avec un CS bas (inférieur à 12 km/h)
- 83,2 +- 4,3 % pour les coureurs avec un CS intermédiaire (compris entre 12 et 14 km/h)
- 84,2 +- 4,2 % pour les coureurs avec un CS “élevé” (supérieur à 14 km/h, ce qui est très loin des valeurs mesurables chez des coureurs sub élites ou pro).
À noter aussi que le résultat varie selon le marqueur utilisé (LT1 > VT1/GET) du fait des nombreuses méthodes de détermination qui existent.
En pratique, si la réalisation de test en labo via lactate ou ventilation ne sont pas possibles, une première approche serait de partir de CS pour borner le domaine sévère, puis d’approximer T1 via ces pourcentages, et d’affiner au fil des séances en croisant avec des indicateurs de terrain : comportement de la fréquence cardiaque, RPE, etc.
Le modèle d’intensité critique n’est pas un modèle prédictif de la performance
La vitesse critique (CS) ou puissance critique (CP) a longtemps été utilisée pour décrire la relation entre intensité et durée en endurance. Le modèle hyperbolique associé ajuste généralement bien les performances réalisées dans une fenêtre de 2 à 15 minutes, mais il devient irréaliste en dehors de cette plage [5].
Cela signifie concrètement qu’utiliser la vitesse critique comme outil de prédiction de performance n’est pas fiable sur les durées très courtes (où il prédit des vitesses trop élevées, voire impossibles) ni sur les durées longues (où il suppose qu’on peut toujours tenir au moins CP, ce qui est contredit par l’expérience).
La loi puissance (Power Law) comme alternative
À l’inverse, un modèle en loi de puissance (power law, ou modèle de Riegel) décrit la relation intensité–durée avec une grande cohérence, et ce sur une plage beaucoup plus large de durées [5].

Figure 4 : Comparaison des modèles de Vitesse Critique et de Power Law
D’après [5], la loi de puissance (Riegel) s’écrit (ou en course à pied), où S est un paramètre d’échelle (niveau de performance global) et E un paramètre d’endurance. En effet, sur une relation puissance comme celle-ci, S va avoir un impact sur toute la courbe : augmenter S fait monter tous les points de la courbe. E en revanche correspond plutôt à la courbure de la courbe. Plus E est grand, moins la courbe décroît rapidement. Autrement dit, le temps limite correspondant à une puissance donnée est plus important : l’athlète est plus endurant.
Sur l’exemple de la Figure 5 ci-dessous, les profils 1 et 3 ont la même valeur de E (0,956, ou 95,6 %) mais le profil 3 à une valeur de S plus élevée (23,00 contre 22,47). Il est donc possible d’observer que la courbe du profil 3 à la même tendance que celle du profil 1 mais en étant légèrement supérieure. Le profil 2 en revanche possède un S plus grand que les profils 1 et 3, mais un E plus faible (91,5 % contre 95,6 %). Cela s’illustre par une courbure plus prononcée. Son S élevée fait qu’il est plus rapide sur des temps courts, mais son E plus faible fait que sa vitesse maximale soutenable se dégrade plus vite avec l’augmentation de la durée de l’effort. En somme, même avec un S plus grand, à partir d’une certaine durée d’effort, le profil 2 court moins vite que les profils 1 et 3 (représenté par le moment où la courbe du profil 2 passe sous la courbe des deux autres profils).

Figure 5 : Illustration de 3 profils d’athlète différents avec la Power Law
Cette approche offre une vision bien plus globale des capacités de l’athlète et permet d’identifier les axes de travail prioritaires. Elle met aussi en évidence qu’un simple test de VMA (une vitesse soutenable au maximum 11’, soit 660 secondes selon le protocole de test utilisé) ne permet ni de caractériser l’endurance d’un individu ni de prédire sa performance sur des durées plus longues.
Pour revenir sur les deux paramètres S et E, ils sont estimés à partir de performances de référence, ce qui permet ensuite de prédire le temps limite à une intensité donnée :
(éq. 4)
En pratique, cela veut dire que si tu fixes une intensité cible (par exemple une puissance ou une vitesse), tu peux connaître le temps maximal que tu pourras tenir à cette intensité. C’est une information précieuse pour calibrer une séance ou estimer une allure de course.
Finalement, plutôt que d’opposer le modèle de puissance critique à celui de power law, il serait plus pertinent de les considérer comme deux outils complémentaires : la puissance critique comme repère physiologique pour définir les intensités de travail, et la power law pour connaître le temps limite à une intensité donnée et donc pouvoir calibrer la durée des intervalles de séance et anticiper la performance.
Un modèle qui s’appuie sur la réalisation d’efforts maximaux
Comme évoqué précédemment, la réalisation d’efforts maximaux a ses avantages et ses inconvénients. Elle permet notamment d’obtenir une bonne estimation des temps limites, ce qu’un test de seuils lactates ne fournit pas directement.
Cependant, cela exige :
- un engagement total, potentiellement très stressant chez certains athlètes, voire contre productif ;
- de l’expérience et une bonne gestion de l’allure (pacing) : un départ trop rapide entraîne une chute progressive de la puissance/vitesse au fil du test et rend le résultat moins représentatif. Avoir une idée du pacing ou des Watts à tenir peut permettre d’éviter ce type d’erreur.
Une manière de contourner la multiplication des tests maximaux consiste à utiliser la power law présentée plus haut et des résultats de compétition, qui constituent de fait des efforts maximaux. Par exemple, on peut ajuster la power law à partir des performances sur 5 km et 10 km pour déduire le temps sur 12 min. Pour une bonne précision, il est préférable d’avoir une référence récente sur 5 km plutôt que des temps sur semi-marathon ou marathon. Attention toutefois : une performance réalisée en compétition bénéficie souvent d’un contexte favorable (état de forme, adrénaline, émulation, parcours balisé, lièvres, public). Pour transposer ces données à l’entraînement ou les utiliser dans le modèle, il est est préférable d’ajuster légèrement à la baisse la vitesse obtenue. Il sera ensuite possible d’ajuster finement à la hausse ou à la baisse selon le ressenti et la tolérance de la séance.
Un test de terrain facile à mettre en place
L’avantage majeur du test d’intensité critique est qu’il se réalise sur le terrain. Il ne nécessite aucun matériel de laboratoire (analyseur de lactate, masque mesurant la ventilation et les échanges gazeux). Il est donc bien plus accessible, tant en compétences requises qu’en coût, tout en offrant un repère très fiable pour calibrer et individualiser l’entraînement.
L’intensité critique n’est pas figée dans le temps
Ce profilage indique sur quelles distances un athlète a, à l’instant T, les meilleures chances de performer — mais il reste évolutif. Il sert justement à orienter le contenu de l’entraînement vers l’objectif. Par exemple, un athlète qui prépare un 5 000 m et dispose d’une grande réserve de D′ gagnera sûrement davantage à développer sa CS (vitesse critique) via un travail extensif mené sous CS.
Ce phénomène n’est pas propre à la vitesse critique : tous les seuils évoluent au fil de la saison, qu’ils soient définis par le lactate, la ventilation ou l’intensité critique.
Il faut donc programmer les tests au bon moment. Les réaliser dès la première semaine de reprise est rarement pertinent : la forme n’est pas stabilisée, les valeurs risquent d’être rapidement obsolètes, sans parler du fait que la réalisation d’efforts maximaux en course à pied accroît le risque de blessure. Le plus judicieux est de les effectuer après un bloc de reprise, puis juste avant d’entamer un cycle spécifique afin de calibrer ce dernier, avec des ajustements ultérieurs selon les retours des séances (fréquence cardiaque, RPE/perception de l’effort, etc.).


